首页
题库
网课
在线模考
桌面端
登录
搜标题
搜题干
搜选项
0
/ 200字
搜索
不定项选择
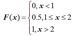
已知随机变量X的概率分布为P(X=k)=0.5,k=1,2. 则X的分布函数为
A.正确
B.错误
点击查看答案
在线练习
手机看题
你可能感兴趣的试题
单项选择题
根据反不正当竞争法律制度的规定,下列各项中,不属于经营者不正当附奖赠促销行为的有()
A、采用谎称有奖的方式进行有奖销售。
B、采用故意让内定人员中奖的方式进行有奖销售。
C、利用有奖销售的手段推销质次价高的商品。
D、抽奖时附奖销售的最高奖金金额达到4000元。
点击查看答案
手机看题
单项选择题
下列关于强弱电解质的叙述正确的是( ) A.
弱电解质在溶液中部分电离,存在电离平衡;强电解质在水溶液中完全电离,不存在电离平衡 B.
在溶液中导电能力强的电解质是强电解质,导电能力弱的电解质是弱电解质 C.
离子化合物都是强电解质,而弱电解质都是共价化合物 D.
纯净的强电解质在液态时不能导电,在水溶液中能导电
点击查看答案
手机看题
微信扫码免费搜题