首页
题库
网课
在线模考
桌面端
登录
搜标题
搜题干
搜选项
0
/ 200字
搜索
单项选择题
关于口腔的描述,正确的是
A、由上、下牙龈分为前外侧部和后内侧部
B、为牙与唇、颊之间的空隙
C、为牙与腭之间的空隙
D、上、下牙咬合时,口腔前庭与固有口腔不相通
E、借咽峡与口咽相通
点击查看答案&解析
在线练习
手机看题
你可能感兴趣的试题
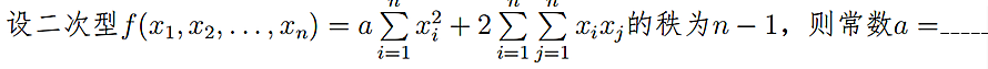
单项选择题
A.2n
B.1
C.-2n
D.0
点击查看答案&解析
手机看题
单项选择题
MR也称 {混合} 现实技术。( ) A. 对 B. 错
点击查看答案&解析
手机看题
微信扫码免费搜题