首页
题库
网课
在线模考
桌面端
登录
搜标题
搜题干
搜选项
0
/ 200字
搜索
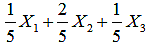
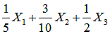
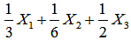
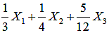
单项选择题
A、
B、
C、
D、
点击查看答案
在线练习
手机看题
你可能感兴趣的试题
单项选择题
依从即他者通过对我们施加直接或隐性的影响,诱使我们改变自身的行为,接受并使对方的期望得以满足。
A、正确
B、错误
点击查看答案
手机看题
单项选择题
A.
B.
C.
D.
点击查看答案
手机看题
微信扫码免费搜题