首页
题库
网课
在线模考
桌面端
登录
搜标题
搜题干
搜选项
0
/ 200字
搜索
单项选择题
《蒹葭》是( )风中脍炙人口的名篇。 A. 魏 B. 唐 C. 秦 D. 陈
点击查看答案&解析
在线练习
手机看题
你可能感兴趣的试题
单项选择题
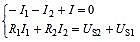
如图所示电路中,下列关于求解I1和I2的方程中,正确的是( )。
A.
B.
C.
D.
点击查看答案&解析
手机看题
问答题
在《三体2》中,驾驶“自然选择”号逃离太阳系的人是谁?
答案:
1.章北海
2.程心
正确答案:章北海
章北海,刘慈欣作品《三体》三部曲中的人物,出现于《三体I...
点击查看答案&解析
手机看题
微信扫码免费搜题