首页
题库
网课
在线模考
桌面端
登录
搜标题
搜题干
搜选项
0
/ 200字
搜索
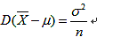
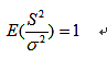
单项选择题
A.
B.
C.
D.
点击查看答案
在线练习
手机看题
你可能感兴趣的试题
单项选择题
常用来表现马儿奔跑的技法是( ) A. 顿弓 B. 颤弓 C. 分弓 D. 抛弓
点击查看答案
手机看题
多项选择题
入侵防御系统包含哪些功能?
A、监视网络或网络设备的网络数据传输行为
B、及时中断、调整或隔离一些不正常或是具有危害性的网络资料传输行为
C、深入网络数据内部,查找它所认识的攻击代码特征,过滤有害数据流
D、丢弃有害数据包,并进行记载,以便事后分析
点击查看答案
手机看题
微信扫码免费搜题